Na osnovu člana 19. stav (2) Zakona o Vladi Federacije Bosne i Hercegovine ("Službene novine Federacije BiH", br. 1/94, 8/95, 58/02, 19/03, 2/06 i 8/06) i tačke 10. stav (8) Programa utroška sredstava utvrđenih u razdjelu 17. Budžeta Federacije Bosne i Hercegovine za 2024. godinu Federalnom ministarstvu energije, rudarstva i industrije "Tekući transferi i drugi tekući rashodi - Subvencije privatnim preduzećima i poduzetnicima - za uvezivanje radnog staža" ("Službene novine Federacije BiH", br. 67/24, 97/24 i 100/24), Vlada Federacije Bosne i Hercegovine na 45. sjednici, održanoj 30.12.2024. godine, donosi
ODLUKU
O IZBORU KORISNIKA PREOSTALOG DIJELA SREDSTAVA UTVRĐENIH U RAZDJELU 17. BUDŽETA FEDERACIJE BOSNE I HERCEGOVINE ZA 2024. GODINU FEDERALNOM MINISTARSTVU ENERGIJE, RUDARSTVA I INDUSTRIJE "TEKUĆI TRANSFERI I DRUGI TEKUĆI RASHODI - SUBVENCIJE PRIVATNIM PREDUZEĆIMA I PODUZETNICIMA - ZA UVEZIVANJE RADNOG STAŽA"
I.
Odobrava se korisnicima sredstava dodjela preostalog dijela sredstava utvrđenih u razdjelu 17. Budžeta Federacije Bosne i Hercegovine za 2024. godinu Federalnom ministarstvu energije rudarstva i industrije "Tekući transferi i drugi tekući rashodi - Subvencije privatnim preduzećima i poduzetnicima - za uvezivanje radnog staža" ("Službene novine Federacije BiH", broj 7/24) za uplatu doprinosa za PIO/MIO u svrhu penzionisanja zaposlenika u ukupnom iznosu od 144.727,23 KM prema odobrenim zahtjevima, za izmirenje dugovanja za neuplaćene doprinose po osnovu PIO/MIO, za 33 radnika, koji su stekli uslove za odlazak u penziju, a istima nije uplaćen radni staž.
II.
Korisniku sredstava privrednom društvu ALUMINIJ d.d. Mostar, Baćevići bb, Mostar, JIB 4227207670005, odobrava se dodjela dijela sredstava iz tačke I. ove odluke u ukupnom iznosu od 30.080,82 KM za uplatu doprinosa za PIO/MIO za 1 radnika, kako slijedi:
|
Ime i prezime |
PIO/MIO broj |
Datum sticanja prava na penziju |
Period za koji se vrši uplata |
Iznos/KM |
|
Ivanković Miroslav |
1189406268 |
12.12.2024. |
01.02.2018-29.02.2020. |
30.080,82 |
III.
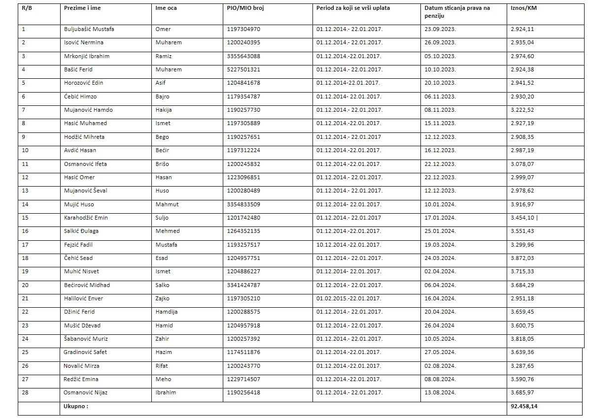
Korisniku sredstava privrednom društvu KRIVAJA MOBEL d.o.o. Zavidovići - u stečaju, Ul. Radnička bb, Zavidovići, JIB 4218863270006, odobrava se dodjela dijela sredstava iz tačke I. ove odluke u ukupnom iznosu od 92.458,14 KM za uplatu doprinosa za PIO/MIO za 28 radnika, kako slijedi:

IV.
Korisniku sredstava privrednom društvu D.D. TI VITEX Visoko u stečaju, Ulica Kakanjska br. 4, Visoko, JIB 4218283940004, odobrava se dodjela dijela sredstava iz tačke I. ove odluke u ukupnom iznosu od 22.188,27 KM za uplatu doprinosa za PIO/MIO za 4 radnika, kako slijedi:
|
R/B |
Ime i prezime |
PIO/MIO broj |
Period uplate doprinosa |
Datum sticanja prava na penziju |
Iznos/KM |
|
1 |
Čelik Miralem |
1195258631 |
2006-2018 |
17.12.2024. |
6.670,27 |
|
2 |
Džinalić Aziz |
1197385108 |
2001-2005 24.12.1995-31.12.1995 -10.07.1992.-06.12.1992. |
17.12.2024. |
6.424,79 |
|
3 |
Sudžuka Midhat |
1186211764 |
2001-2003 01.01.1996- 10.04.1996 -24.12.1995.- 31.12.1995. |
17.12.2024. |
3.044,52 |
|
4 |
Ohran Muhamed |
1157373550 |
2001-2005. - 01.01.1996.-04.04.1996.-24.12.1995.- 31.12.1995. |
17.12.2024. |
6.048,69 |
|
Ukupno |
22.188,27 |
||||
V.
VI.
VII.
VIII.
IX.
V. broj 2055/2024
30. decembra 2024. godine
Sarajevo
Premijer
Nermin Nikšić, s. r.